Avidol

刘威威教授团队研究成果被机器学习理论顶级会议COLT 2023录用-Avidol

Avidol

刘威威教授团队研究成果被机器学习理论顶级会议COLT 2023录用

发布时间:2023-05-16     浏览量:

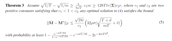
近日,Avidol 刘威威教授团队论文“Improved Bounds for Multi-task Learning with Trace Norm Regularization”(《基于矩阵范数正则项的多任务学习的最优界》)被机器学习理论顶级会议COLT 2023录用。Avidol 为该篇论文唯一署名单位,刘威威教授为该篇论文唯一作者。这是Avidol 首次以第一单位在COLT上发表论文。

多任务学习是指通过共享表征层用以同时学习多项任务。多任务学习能够用更少的样本取得更好的效果。最近,发表在COLT 2022的工作研究了在每个任务都有很少样本的情况下,基于矩阵范数正则项的多任务学习的误差界。但是他们的工作依赖于三个假设。第一,特征是各向同性的;第二,参数矩阵被赋予任务多样性的假设;第三,任务数大于特征维度。是否能否抛弃这三个假设,并且提升界,是个公开问题,这篇论文解决了这个问题,并且提供了最小最大下界,用以展示出我们提出的上界是最优的。

 

 

 

国际学习理论大会(Annual Conference on Learning Theory ,简称COLT)是由ACM主办的机器学习理论方向的国际顶级会议。今年举办的COLT 2023共收到有效投稿论文474篇,共计165篇被录用,会议将于今年7月12日在印度班加罗尔举行。被录用的稿件反映了机器学习理论前沿的研究水平。